Precise thermal management in high-power LED systems requires an understanding of both the LED component and the surrounding thermal structures, often referred to as the Balance of System (BOS). While thermocouples are adequate for determining a thermal model at DC drive conditions, they cannot capture the rapid microsecond temperature fluctuations at the LED junction in dynamic PWM drive conditions and engineers must rely on a combination of empirical measurement and simulation to ensure the device remains within its safe operating range, e.g. does not exceed the maximum peak junction temperature. By capturing the cooling curves of both the LED and the BOS, you can extract the specific thermal resistance and capacitance values needed to build a calibrated SPICE thermal circuit simulation.
This article details a two-part approach to creating a thermal model of your hardware. First, we use the Transient Dual Interface Method to isolate the thermal parameters of the LED package. Second, we employ a simplified empirical method to characterize the BOS, which includes the metal core printed circuit board (MCPCB), thermal interface materials, and the heatsink. Together, these elements form a Cauer ladder model in SPICE that accurately represents the physical flow of heat through the system, allowing us to simulate complex transient scenarios such as pulse-width modulation and worst-case high ambient temperature conditions.
Analysis & Simulation – a Typical Thermal Structure with 4-layers
First, we will simulate the thermal response of a typical, but more complex four component system. The objective is to show that a simplified two component system is accurate enough.
Visualizations of the cooling curve and a typical four-component LED system thermal circuit are shown in the figures below. In SPICE thermal models, voltage corresponds to temperature and current to thermal power.
Typical LED system thermal circuit.
This system has an LED, an MCPCB, a TIM and a heatsink in a Cauer topology (discussed below). The circuit is driven with 5 watts of thermal power for 2000 seconds and then the power is turned off. The chart below shows raw output for the heating and cooling curves for each of the layers in the system.
Raw SPICE output for the circuit shown in the figure above.
The red line is V(n001), the LED junction temperature. The temperature traces of the top surfaces of the other layers—V(t_mcpcb), V(tim), and V(heatsink)—are also shown.
For a cooling curve, one thermal time constant (τ = Rth * Cth) corresponds to a drop to 36.8% of the total temperature change and five time constants is considered to be steady state line-out.
This data set can be exported and analyzed in more detail. The figure below shows a semilog plot of the junction temperature curve during cooling. There are two significant cooling regimes in this plot. First the LED junction rapidly cools down to match the temperature at the top of the PCB. Next, the LED junction cools down at the same rate as the balance of the thermal system until everything reaches the ambient temperature. The MCPCB and TIM cooling curves cannot be resolved separately and should be combined with the BOS component.
Junction temperature curve during cooling (semilog plot).
Since we know the Rth, Cth values used to generate the curves, we can calculate the time constants and corresponding junction temperatures. A tabulation of these values is below this plot.
Tabulated values for the semilog thermal plot above:
The total system values are shown since the heatsink response is dominant after the first 511 milliseconds.
This data can be converted to a thermal impedance, Zth(t), curve as shown below.
Plot of the Zth(t) curve for the cooling simulation data discussed above.
The time dependent Zth(t) function represents the thermal resistance for a single pulse with length of time t. The saturation value of this curve is the Rth value for Continuous Wave (CW) operation. Shorter pulses have a lower thermal impedance than longer pulses. For times shorter than about 1 ms, Zth would have to plotted on a log scale to distinguish the extremely low values. The 5τ time constant for the entire system is 854 seconds (14 min) so a single pulse duration would have to be longer for the steady state Rth to apply. Applications tend to be short pulses, such as in PWM, or steady state, CW, and minutes long pulse use cases are rare.
The original thermal circuit had four layers, but the analysis output only distinguishes two thermal elements, which we label the LED and BOS. Using only two thermal terms will give a representative model of this thermal system. The thermal parameters of the LED and BOS are both measurable. The rest of this article discusses the theory and methods to measure the LED and BOS thermal response and then gives examples for using these values in CW and pulse-driven SPICE models.
Measuring the LED Thermal Parameters with the Transient Dual Interface Method (TDIM)
Measuring the LED thermal response begins with the Transient Dual Interface Method, or TDIM (JESD 51-14), which relies on capturing the cooling curve of the LED junction. LEDs are electronic devices where voltage is a function of temperature. This allows you to calibrate an LED and directly read the junction temperature cooling curve by measuring the voltage of the device with high-speed electronics as it cools down.
The goal of the TDIM analysis is to generate a structure function that contains the summed values of Rth and Cth from the top of the LED structure to the solder point at the bottom of the LED. Generally, we are interested in the values at the solder point which can be used in a SPICE model. The process of moving from a raw thermal transient measurement of an LED to a structure function involves a complex sequence of data collection and mathematical transformations.
To do this, you monitor the forward voltage of the LED, which acts as a temperature-sensitive parameter. Before the test, the device must be calibrated to determine its K-factor, defining the change in millivolts per degree Celsius at a selected low current level. The LED is then run at high current until it reaches steady-state temperature, at which point the current is abruptly cut to the low level to record the voltage change using fast electronics. This low current voltage data is subsequently converted into a temperature-versus-time curve using the K-factor.
This measurement is performed using an industry-standard T3STER test bench. The T3STER provides the extremely high-speed data acquisition needed to capture the fine structure of the LED cooling curve, which occurs in the microsecond to millisecond range.
To isolate the package parameters from the rest of the system, the TDIM technique measures this transient cooling using two different Thermal Interface Materials (TIMs) between the LED and a cooling plate. TIM1 and TIM2 are selected such that one has significantly better thermal conductivity than the other, ensuring a clear separation between the resulting data sets and identifying the point where the LED “ends”.
This setup generates two distinct thermal impedance curves, Zth. Because thermal events in an LED occur over many orders of magnitude in time, the time axis is converted to a logarithmic scale. The Zth curves remain identical as heat moves through the internal layers of the LED (the die attach and substrate) and only diverge at the point where the thermal path encounters the different TIMs. This divergence point identifies the LED solder point, which is the boundary between the LED component and the BOS.
Example of Zth Curves for Two Different TIMs.
The internal thermal structure of the LED is characterized through a mathematical transformation called numerical deconvolution. The system is modeled as a sum of individual RC responses, and the density of these time constants is extracted. This data is converted from a Foster network representation into a Cauer ladder model. The Cauer model is essential for engineering because it represents the physical reality of heat flowing through sequential material layers, where each capacitor is tied to the thermal ground. This is also called a compact thermal model (CTM) in some of the literature.
Comparing Foster vs. Cauer Impedance Models.
The Foster model is well suited to fit the thermal impedance of multimodal exponential data but has no correspondence to the physical structure of the system. The Cauer model can be set up to correspond to the thermal layers in a system. The Cauer parameters can be calculated from the Foster parameters. There is a Python library, thermal-network, that helps with this type of data analysis.
The equation prototype for a Foster impedance fit to the cooling curve data is:
Where τi = Ri ∙ Ci
This formula represents a Foster network, where the number of terms (n) is arbitrary and selected to best fit the shape of the empirical data. In this mathematical representation, each term corresponds to an individual RC response extracted during the deconvolution of the cooling curve.
It is important to reiterate that while this Foster model might better fit the measured temperature decay, it does not directly represent the physical sequence of material layers. In a Foster network, the internal nodes do not have a physical location in the thermal stack. Converting these terms into a Cauer ladder model—which does reflect physical reality—requires a complex algorithm defined in JESD 51-14 that is difficult to implement without specialized software.
The final TDIM result is the cumulative structure function as shown in the figure below. This is a plot where the x-axis represents the cumulative thermal resistance and the y-axis represents the cumulative thermal capacitance. In this plot, different materials appear as distinct slopes. A section with a very low slope indicates a layer with high thermal resistance and low capacitance. A section with a very steep slope indicates a material with high thermal mass and low resistance. The thermal structure of different layers in the LED package is observable in this plot, and these wiggles are spatially correlated top down from the LED chip to the LED bottom (solder point) where the curve separation occurs.
LED Structure function using the TDIM method used to measure LED Rth and Cth.
By identifying the point in the structure function where the curves diverge, you can precisely determine the junction-to-case thermal resistance (Rth-jc) and the corresponding thermal capacitance. In this example, the LED has a measured resistance of 3.47 K/W and a capacitance of 0.018 J/K and the thermal time constant is calculated as τled = 3.47 * 0.018, which equals 62.5 milliseconds. Since RC curves need approximately five times the time constant to reach steady state, this LED would require about 312 milliseconds to thermally stabilize after a power change.
Measuring the BOS Parameters of the Thermal System between the LED and the Ambient Temperature.
The balance of the thermal system is typically an MCPCB, a TIM, and a heatsink lumped into one element. These materials are not suited for TDIM measurements because they do not have a voltage signal that can be correlated to temperature.
Calculating values from datasheets and published material values suffers from ambiguities in the volume of material participating in the heat transfer. For example, a small LED on a large heatsink does not have the thermal mass of the entire heatsink. Rather, there is an effective volume that has significant heat flow, and the rest of the material is nonparticipating.
The method detailed below is an empirical measurement approach to determine the cooling rate of the physical system and gives a single lumped BOS term that is reasonably accurate.
Note that the effective volume changes for widely different power levels since heat transfer is gradient driven. It may be necessary to perform this measurement at different starting thermal power levels to achieve a wide dynamic range model. Additionally, this approach is lumping multiple layers of material into a single BOS element. The exponential curve measured might be multimodal and the single mode curve may diverge from the data.
For standard engineering purposes, minor deviations between the multimodal Foster fit and the physical system can typically be ignored. The primary goal is to ensure the simulated junction temperature remains within the safe operating area during worst-case transient events. By using this empirical "signature" to define the model, you avoid the inaccuracies inherent in guessing material volumes or interface thicknesses.
The measurement steps for a single exponential Rth-BOS, Cth-BOS fit are as follows:
1. Steady-State Data Collection
Run the system under normal operating conditions until the temperature stabilizes.
- Measure Ts: Properly bond a small thermocouple at the solder point (the interface between the LED and MCPCB). A 30-gage TC wire or less is recommended to minimize the thermal mass of the TC.
- Measure Tamb: Record the ambient air temperature.
- Calculate PLED: Determine the actual heat power (Total Power in Watts minus Optical Power out).
Solve for Rth-BOS:
This gives you the total resistance of the path including the MCPCB, TIM, and heatsink.
2. Transient Cooling Measurement
Once at steady state, cut the power to the LED and record the temperature decay at the solder point (Ts).
- Sampling Rate: Ensure your logger captures at least 1 sample per second. Adjust sampling as needed for larger and smaller thermal masses.
-
Determine the Time Constant (τ): Identify the time it takes for the temperature to drop by 63.2% of the way to ambient.
- Calculation: Ttarget = Tamb + 0.368 * (Ts - Tamb).
- Find the time (t) where the measured temperature reaches Ttarget. This is your τBOS.
3. Extracting the Empirical Cth-BOS
Since you now have the measured resistance (Rth-BOS) and the measured time constant (τBOS), you can calculate the effective thermal mass:
Simulated BOS cooling curve with a 1 second TC acquisition speed.
The thermocouple is placed next to the LED measuring the temperature at the top of the MCPCB, which is the top of the BOS thermal stack (orange dashed line). The blue line shows the simulated LED junction temperature at this sampling rate.
If a high sampling rate were used, such as what can be achieved with a T3STER, the junction temperature would look like the blue line in the figure below. The LED junction temperature drops rapidly in the first second to the temperature of the BOS (since the power is off) and then the cooling curve is dominated by the thermal mass of the BOS thermal stack.
Simulation of the actual cooling curve if high-speed electronics were used instead of 1-second sampling.
The numerical steps for this example system are below.
Step 1: Establish Steady State Baseline
Before cutting the power, the system is running at a constant heat load.
- Power (Qwatts) = 5.0 Watts (This is technically dQ/dt, the thermal power in watts)
- Ambient Temperature (Tambient) = 25.0°C
- Measured Solder Point Temperature (Ts-steady) = 48.0°C
Step 2: Calculate Empirical Thermal Resistance (Rth-BOS)
The thermal resistance from the solder point to the air is calculated using the steady state temperature rise.
- ΔT = Ts-steady - Tambient
- ΔT = 48.0° - 25.0° = 23.0°C
- Rth-BOS = ΔT / Qwatts
- Rth-BOS = 23.0° / 5.0 = 4.6 K/W
Step 3: Determine the Target Temperature for τ
To find the time constant, we need to identify the temperature at the 63.2 percent cooling point (or 36.8 percent of the initial delta remaining).
- Ttarget = Tambient + 0.368 * (Ts-steady - Tambient)
- Ttarget = 25.0 + 0.368 * (23.0°)
- Ttarget = 25.0 + 8.46 = 33.46°C
Step 4: Measure the Time Constant (τ) from Data
Look at the thermocouple log and find the time elapsed between power-off (T = 0) and the moment the sensor reached 33.46°C.
- Measured τBOS = 213.3 seconds
Step 5: Solve for Empirical Capacitance (Cth-BOS)
Now use the measured τ and the measured Rth to find the effective thermal mass of the assembly.
- Cth-BOS = τBOS / Rth-BOS
- Cth-BOS = 213.3 / 4.6
- Cth-BOS = 46.37 J/K
Summary for SPICE Implementation
These two values define the entire Balance of System in the simulation. By utilizing the thermal signature of the hardware, the model avoids errors associated with estimating heatsink volume or Thermal Interface Material (TIM) thickness. Because thermal elements like heatsinks are non-linear, this lumped parameter approach should be validated at multiple power levels if the application requires a wide dynamic range.
SPICE Examples
Spice Example: CW driven LED.
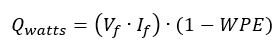
The circuit below represents a two element LED-BOS thermal model driven by a 5.0 W thermal CW input. The input heat power is defined as Qwatts and the ambient temperature as Tambient. The heat power must be calculated using the LED efficacy at the specific operating point to exclude optical power.
In a thermal SPICE simulation, the current source represents only the power dissipated as heat. Since LEDs convert a portion of electrical input into optical radiation, this energy must be subtracted to determine the actual thermal load.
The equation for Qwatts :
Where:
- Vf is the forward voltage at the operating current.
- If is the forward current.
- WPE is the Wall Plug Efficiency (expressed as a decimal).
If the datasheet provides Radiometric Power (optical output in Watts) for a specific drive condition, the equation is:
Where: Popt is the measured optical power in Watts.
Using the total electrical power (Vf * If) without this correction overestimates the junction temperature because the model would include energy that has exited the system as photons.
Furthermore, the simulation must utilize the real thermal resistance, Rth-real:
Rth-real is based on the physical thermal properties of the package and remains relatively constant, whereas Rth-electrical and WPE are dependent on the injected thermal power and junction temperature.
Running the SPICE model with a constant - watt input gives the result below. The measured SPICE LED steady state “line-out” temperature is 65.35°C and the BOS line-out temperature is 48°C.
These steady state values can also be calculated using the following equations
SPICE analysis output in a linear plot format (CW mode).
The plot above does not show the detailed thermal behavior of the LED. The semilog plot below shows the response of both thermal elements with the time constant points identified.
Semilog plot of the model output with the time constants labeled (Red – LED, Blue – BOS).
In this view, the two stages of the thermal rise are easily observed. This system reaches steady state after 1,065 seconds.
SPICE example: a PWM driven LED.
The circuit below shows an LED-BOS pulse-width modulated (PWM) thermal model. We have changed the fixed power in the source to a SPICE PULSE directive to simulate a 240 Hz PWM with a 50% duty cycle.
SPICE circuit for thermal analysis of a PWM-driven LED system’s heating curve.
The syntax for the PULSE command used to simulate PWM is as follows:
PULSE(I1 I2 TD TR TF PW PER)
Where:
- I1 and I2 are the magnitudes of the low and high states of the pulse (0 and 5 W thermal in this example). The pulse can start either high or low. We have chosen low.
- TD, TR, and TF are the time delay, the rise time, and the fall time for each pulse.
- PW is the individual pulse width.
- PER is the period of the pulse train.
- Additionally, the .tran command controls the simulation time in seconds
- And the .ic command sets the initial condition of node 1 (the LED junction temperature) to match the ambient temperature.
The SPICE syntax is different than the common frequency and duty cycle definitions used in the LED world. Fortunately, there is an App that will convert duty cycle and frequency to the SPICE format:
App to convert frequency and DC to SPICE syntax
For a 240 Hz, 50% DC with a peak power of 5 W, the App output is shown below.
SPICE tends to converge faster if the rise and fall times are non-zero. The rise time multiplier in the app automatically creates a small slope based on the pulse time. This also inhibits ringing caused by a small parasitic inductance that SPICE applies to all components to prevent divide-by-zero errors. Thermal systems are pure RC and never ring. For very slow pulses, we have observed ringing of the SPICE outputs. These are not real and should be ignored in the data analysis. You can hover the cursor and read the correct values in the lower left of the LTspice interface.
A semilog plot of this PWM case is shown below.
PWM analysis output in a semilog plot format (240 Hz, 50% DC).
The two stages of the thermal rise are easily observed. For PWM, a new behavior, the thermal ripple, is observed. In this plot, the thermal ripple is 0.29°C.
PWM analysis output in a linear plot format (240 Hz, 50% DC).
Note that the thermal ripple for this simulation is small (0.29°C). This is because the pulse time for this case (2.084 ms) is much less than the LED time constant (62 ms). The measured SPICE average line-out temperature for the LED is 45.22°C and the measured SPICE average line-out temperature for the BOS is 36.52°C. The input power to the system scales with the duty cycle, thus we can calculate the average steady state temperatures as follows:
Showing good agreement between the two methods.
Zooming in on the simulated pulses, we see that this case is very similar to the CW case but with lower line-out temperatures since the input thermal power has been scaled by the duty cycle.
Zoomed in view of the steady state waveforms (240Hz, 50%DC).
If we reduce the frequency, we can increase the thermal flicker. The maximum thermal flicker that can occur in this system is 17.35°C which corresponds to the Tss-LED – Tss-BOS CW values calculated above.
At 1.6Hz, 50% duty cycle, the input pulse is 312.5 ms, about the same as the 5τ value for the LED and the thermal ripple is more significant, 17.2°C, nearly the same as the 17.35°C limit.
Simulation result for 1.6 Hz, 50% DC. The LED maximum temperature is 53.8°C and the minimum is 36.6°C. The thermal ripple is a total of 17.2°C.
Zoomed in view of the 1.6 Hz, 50% DC waveforms. The LED is energized long enough to reach full temperature, and the off time is long enough that the LED cools down to the BOS temperature after each pulse.
If we change the duty cycle to 90%, we get this result where the LED maximum temperature increases due to the higher adjusted thermal power and the LED minimum temperature also increases due to the shorter cooling down time in this asymmetric pulse.
Simulation result for 1.6 Hz, 90% DC.
The LED maximum temperature is 63.1°C and the minimum is 52.2°C. The thermal ripple is reduced to 10.9°C.
The LED is energized long enough to reach full temperature, but the off time is now short enough to limit the LED cool down, thus it does not reach the BOS temperature after each pulse.
For a 10% duty cycle, the maximum temperature of the LED is significantly reduced, and the LED has more than enough time to cool down between pulses.
1.6 Hz, 10% DC.
The LED maximum temperature is 38.36°C and the minimum is 27.32°C. The thermal ripple is 11.04°C.
Zoomed in 1.6 Hz, 10% DC.
The average power input is low, so the LED and BOS steady state temperatures are low.
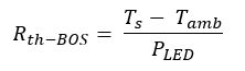
If we explore this 1.6 Hz duty cycle space further, we get the following consolidated results:
SPICE results for 1.6 Hz using 1, 10, 30, 50, 70, 90, and 99% duty cycle input waveforms.
At low duty cycles, the LED has enough off time to cool down to the temperature of the BOS and only starts to lift off the BOS curve for duty cycles above 50% (which was selected to have a 5τ_LED time constant). The LED maximum temperature increases with duty cycle and at 99% reaches 99% of the CW value.
This relationship between duty cycle and thermal ripple can be generalized by running enough simulations.
Simulation results show the relationship between the magnitudes of the thermal ripple and the duty cycle for different driving frequencies.
For this thermal system, the frequencies used for PWM drivers used in general lighting applications have negligible thermal ripple magnitudes. For frequencies used for strobes and in some instrumentation applications the thermal ripple magnitude is significant.
The table below shows the results of a scan across four PWM frequencies and 1, 10, 30, 50,70, 90%, and 99% duty cycles.
* The LED thermal constant (τLED) for this table is 62 milliseconds. The 5τ time is then 310 milliseconds. We have scaled the on-time and off time columns to τLED.
This is an example of a complex analysis that can be performed in a reasonable amount of time. Many other scenarios can be modeled using these methods.
Concluding Remarks
Note on Model Accuracy: The BOS model presented here uses a "lumped parameter" simplification. While this is generally accurate enough for standard engineering design, real-world systems often exhibit nonlinearities. Factors such as convection efficiency and radiation loss are temperature-dependent, meaning the Rth and Cth values may shift slightly at different power levels. For extreme precision, measurements should be performed at the intended operating power, or a more complex multi-stage network should be employed to account for thermal gradients across the heatsink.
The primary value of building a calibrated SPICE thermal model lies in its ability to predict what we cannot easily measure. While a thermocouple provides a reliable look at the slow-moving temperatures of a heatsink, it is physically impossible for a mechanical probe to track the microsecond-level temperature spikes occurring at the LED junction during high-frequency PWM or transient surge events. By combining high-precision TDIM data for the LED with empirical cooling curve data for the Balance of System, you create a “digital twin” of your hardware. This model allows you to simulate worst-case scenarios—such as high-ambient operation or extreme duty cycles assuring that the LED junction stays within its safe operating range without the need for destructive physical testing.
The Luminus Applications Team can provide values for specific LEDs and drive conditions. Please send an email to techsupport@luminus.com if you need help.
References
RC Thermal Models is a similar article dealing with power electronics thermal modeling using SPICE.
Python Library, “Thermal-Network” GitHub page.
Effective Heat Spreading Angle discusses the area/volume issues in dealing with the thermal properties of layers in the thermal stack and proposes an approximation methodology based on spreading angles.
Other SPICE Related Help Center Articles:
Spice - Duty Cycle and Frequency to Spice Command
Spice - Semiautomated SPICE Curve Fitting using Python and LTspice
Thermal - Can I use Spice to perform Luminus LED thermal modeling?
Electrical - How do I simulate an LED pulse in Spice?
Electrical – Can I calculate LED lumens with Spice?
Electrical - How do I sweep an LED IV curve in Spice?
Electrical – How do I extract Spice IV parameters from an LED datasheet?
Electrical - Can I add reference lines to Spice plot panes?
Electrical – Can I model temperature dependent LED IV characteristics with Spice?
Electrical – Can I simulate a set of LED IV curves that have a single Vf bin in Spice?
Electrical - How do I insert a diode file into LTspice?
Data Analysis - Using Python to run LTspice as a remote process.
Electrical - What is Current Hogging in Series Parallel Designs?
Thermal - Step Response Visualization
-------------------------------------------------------------------------------------------------------------------
Luminus Website: https://www.luminus.com/
Luminus Product Information (datasheets): https://www.luminus.com/products
Luminus Design Support (ray files, calculators, ecosystem items [power supplies, lenses, heatsinks]): https://www.luminus.com/resources
Luminus Product Information sorted by Applications: https://www.luminus.com/applications
Where to buy Samples of Luminus LEDs: https://www.luminus.com/contact/wheretobuy.
--------------------------------------------------------------------------------------------------------------------
Technical Support Contact Information: techsupport@luminus.com
Sales Support Contact Information: sales@luminus.com
Customer Service Support Contact Information: cs@luminus.com
Comments
0 comments
Article is closed for comments.