Every LED component has critical operational boundaries defined by its maximum junction temperature and maximum forward current. Derating curves are essential tools that define the safe operating limits for an LED across a range of case temperatures which affect the junction temperature. This article provides a step-by-step guide on how to calculate these derating curve boundaries using the maximum operating conditions found in the LED datasheet.
LED derating curves estimate safe operating conditions for LED components in various thermal environments. The necessary information is typically found in the datasheet. This walkthrough uses the Luminus SST-10-FR LED as an example. The derating curves discussed here are for LED components where the package case temperature, Tc, is the independent variable and the allowable current is the dependent variable. The approach here uses some simplifications since the intent is to stay well inside the boundaries of a derating curve envelope.
Figure from a related Luminus White Paper showing the positions of Tj and Tc discussed in this article.
The case temperature, Tc, is located at the bottom of the LED package and is plotted on the x-axis in a component level derating curve. Case temperature is a measurable parameter. Thermistors, thermocouples, and thermal imaging can all be used to measure the case temperature during product development to ensure the LED is not overheated.
There is another type of derating curve in the literature where ambient temperature is the independent variable. This system level derating curve includes the thermal properties of the system heatsink and other components in the thermal path to ambient but is otherwise calculated in a similar way. The thermal resistance used in system level derating curves is the sum of the LED thermal resistance and the total thermal resistance of the heat extraction system. Since the thermal resistance of the heat extraction system can be designed to have nearly any value this article focuses on the LED component derating curve. The figure below shows the thermal circuits for component and system level derating.
The datasheet information needed for component derating is:
- Rth (°C/W) – The thermal resistance of the LED component.
- Tj_max – The maximum rated junction temperature of the LED chip.
- Tc_max – The maximum rated case temperature measured at the contacts of the device. This is also called the solder point.
- If_max – The maximum rated forward CW current in the data sheet.
- Vf_max – The voltage at the maximum rated current in the data sheet.
Rth can generally be found in the Characteristics table. In this case, it is 5.3°C/W and is an “Electrical” thermal resistance. If both 'Electrical' and 'Real' thermal resistances are provided, use the electrical thermal resistance for this calculation. The method employed here uses the definition of electrical thermal resistance.
Real thermal resistance uses the efficacy of the LED to separate light power from thermal power and is not needed in this calculation. If only one thermal resistance is given in the datasheet, it is electrical thermal resistance.
Tj_max, Tc_max, and If_max can be found in the Absolute Maximum Ratings table. Here If_max is 1500 mA,
Tj_max is 115 °C, and the Tc_max rating is not defined specifically. This is because the SST-10-FR component is constructed from materials that have higher rated long-term use temperatures than the maximum rated junction temperature. Other LED components have materials (typically polymers) that are rated lower than the maximum junction temperature and will then have a Tc_max temperature stated in the data sheet.
The typical voltage at If_max can be calculated by adding the ΔVf from the plot below to the typical Vf given in the characteristics table and is 2.10 V + 0.82 V = 2.92 V. In some cases, the current voltage plot may show Vf vs If, allowing Vf_max to be read directly.
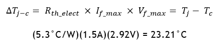
Once all of these values are collected, first calculate the temperature difference across the LED package between the junction and case at the maximum rated current.
The equation for the case temperature where derating is first needed is given by
The SST-10-FR datasheet maximum junction temperature is 115°C, so the maximum allowed case temperature without current derating (Tc_derating) is 115°C – 23.21°C = 91.79°C. See plot below for a graphical interpretation of finding this point.
In this example, we can immediately draw a derating curve since the allowable case temperature is greater than Tj_max. This is shown in the annotated plot below. The three points needed are (1) the starting case temperature and the maximum rated CW current, (2) the derating point as defined above (this is the first case temperature where the operating junction temperature reaches the maximum rated junction temperature, and (3) the maximum junction temperature and zero current. The diagonal line is where the LED is operating at maximum junction temperature for higher case temperatures. This is simplified by assuming the voltage is constant at different currents. If the IV curve is incorporated in the calculation, the diagonal line will have a small curvature.
For case temperatures up to the derating point, no current adjustment is needed and the LED can be operated at If_max. For case temperatures beyond the derating point, the maximum allowed current is adjusted downward so that the LED junction temperature does not exceed the rated maximum temperature.
Derating curve for when the maximum rated case temperature is larger than Tj_max. This curve defines the LED operational envelope for current versus case temperature. In practice, with reasonable heatsink design, the LED can be operated well inside of this envelope.
The derating curve shape above is for components where the rated case temperature is greater than the maximum rated junction temperature. There are two other possible shapes shown below.
For the case where the rated case temperature is between the derating point temperature and the rated junction temperature, the diagonal line is truncated at the rated case temperature. This happens for certain LED designs that incorporate polymers.
An example of this type of derating curve is shown below by changing the rated case temperature to 100°C. A third point (Tc_corner, If_corner) needed for this plot which can be calculated from the two-point equation of a line and using Tc_corner as the input variable (100°C). The two points are (Tc_derating, If_derating) and (Tc = Tj_max, If = 0).
Derating curve for when the maximum rated case temperature is between the derating point and the maximum junction temperature.
A third case is where the derating point case temperature is greater than the maximum rated case temperature so no derating is required up to the maximum rated case temperature and the plot is a rectangle. This is shown in the figure below where the rated case temperature has been changed to 92°C. This example maximum package temperature rating is the same as the derating temperature but the rated case temperature could also be lower for this type of curve.
Derating curve for when the maximum rated case temperature is less than the calculated derating point.
Derating curves define the operating conditions where the operating junction temperature does not exceed the maximum rated junction temperature as the case temperature varies.
We recommend using safety factors to ensure operation is well inside of the envelope. Lumen maintenance rates and efficacy are strongly correlated to junction temperature and should be considered in conjunction with derating concepts.
An LED system designer may choose to use these methods to construct custom derating curves. For example if the desired junction temperature is 85°C for performance reasons, substituting 85°C as Tj_max in this method gives the plot below.
Derating curve when the maximum junction temperature is selected to fit performance criteria associated with 85°C data. The dashed lines show the original derating curve based on the maximum rated junction temperature.
A system designer now knows that to use the full rated current for the SST-10-FR with a targeted junction temperature less than 85°C, the thermal system needs to be designed to accomplish a case temperature below 62°C. This format also indicates how much current derating is needed for higher case temperatures.
Factors to consider when deciding what junction and case temperatures are desirable include:
- Reliability and lumen maintenance for the LED at different temperatures and currents. Luminus provides these data on request (techsupport@luminus.com).
- LED efficacy at different currents and temperatures. Lower currents and lower junction temperatures lead to higher efficacies. This information can also be supplied on request.
- The maximum service temperature of the balance of system (BOS) components. Designers should ensure that the components near the LED do not exceed rated long term operational temperatures. MCPCBs can usually operate near 150°C but this should be confirmed for each type under consideration. Acrylic lenses are easily melted and have surprising low service temperature ratings, around 80°C.
- Human pain thresholds and burn hazards. Designs where the LED and PCB can be touched during operation should be not exceed about 45°C to avoid pain. Burn hazards (5-seconds) start at about 60°C. Instant burning occurs at about 70°C and prolonged exposure burn hazards are as low as 42°C.
References
"Thermal Derating Techniques for LED Driver ICs", Discussion of active LED control strategies.
"Using LEDs With Onboard Thermistors", Luminus White Paper.
-------------------------------------------------------------------------------------------------------------------
Luminus Website: https://www.luminus.com/
Luminus Product Information (datasheets): https://www.luminus.com/products
Luminus Design Support (ray files, calculators, ecosystem items [power supplies, lenses, heatsinks]): https://www.luminus.com/resources
Luminus Product Information sorted by Applications: https://www.luminus.com/applications
Where to buy Samples of Luminus LEDs: https://www.luminus.com/contact/wheretobuy.
--------------------------------------------------------------------------------------------------------------------
Technical Support Contact Information: techsupport@luminus.com
Sales Support Contact Information: sales@luminus.com
Customer Service Support Contact Information: cs@luminus.com
Comments
0 comments
Article is closed for comments.